产品:总抗氧化能力检测试剂盒
品牌:ScienCell
货号:8168
英文名称:Total Antioxidant Capacity Assay
缩写:TACA
产品描述:
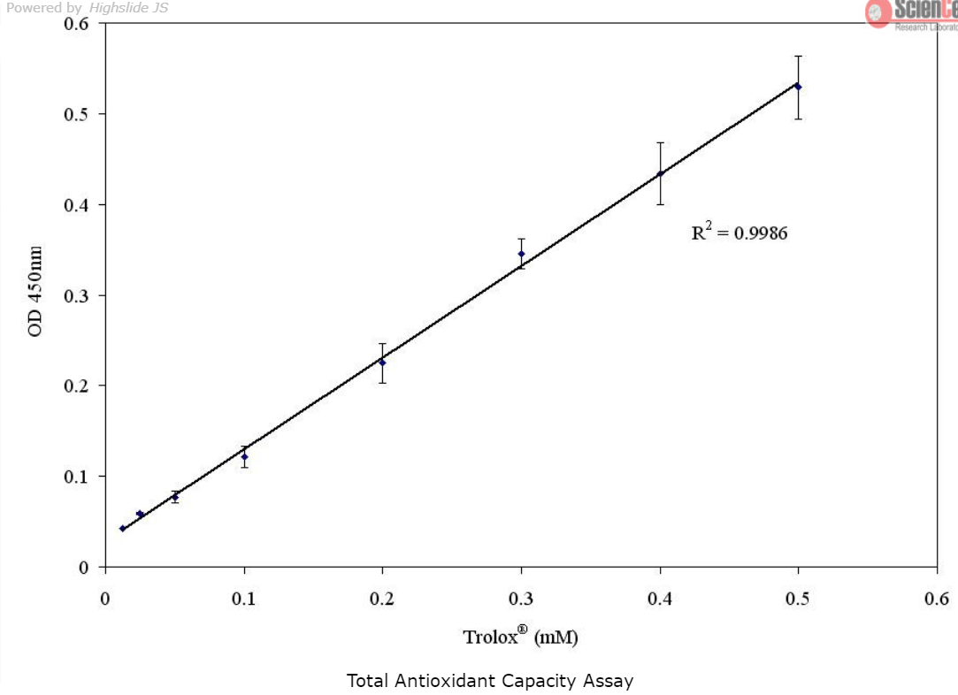
抗氧化剂是一组自由基清除剂,包括大分子和微分子(转铁蛋白,维生素E等)和酶(过氧化氢酶,GSH还原酶等),可以保护重要的细胞靶标免受自由基的氧化攻击或活性氧(ROS)。由于抗氧化剂的化学多样性和合作性质,总抗氧化能力(TAC)的测量对于监测体液的临床状态以及各种食品补充剂抵抗氧化应激的累积能力是重要的。ScienCell总抗氧化能力(TAC)测定是一种铜离子还原抗氧化能力(CUPRAC)分光光度法,可同时测量生理pH下的亲水性和亲脂性抗氧化剂。Trolox是一种细胞渗透性,水溶性维生素E衍生物,具有抗氧化性能,作为标准。
产品使用说明:仅供科研研究使用
















